Mortalité hospitalière
Taux bruts de mortalité hospitalière des 35 ans et plus, par groupes d’âge, par maladie cérébrovasculaire et infarctus aigu du myocarde (pour 100 hospitalisations). 2003-2005, zone ICAPROS

Be : Résumé Clinique Minimum. Service public fédéral : Santé publique, sécurité de la chaine alimentaire et environnement
Fr : Programme de Médicalisation des Systèmes d'Information. Ministère français de la santé
Les taux bruts de mortalité hospitalière nous renseignent quant à la proportion d’hospitalisations se soldant par un décès. Nous pouvons remarquer dans le graphique ci-dessus que ce taux augmente exponentiellement en fonction du groupe d’âge ciblé. Au plus le malade est âgé, au plus la probabilité de décéder des suites d’une hospitalisation est élevée. Cette tendance se confirme pour les deux maladies auxquelles nous nous intéressons, et pour les deux sexes. Nous constatons toutefois que ce sont les maladies cérébrovasculaires qui connaissent les taux bruts de mortalité hospitalière les plus importants pour chacun des groupes d’âge au-delà de 64 ans. Par ailleurs, nous observons des taux presque identiques entre les mortalités hospitalières masculine et féminine.
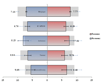
Taux standardisés de mortalité hospitalière par maladie cérébrovasculaire et infarctus aigu du myocarde (pour 100 hospitalisations). 2003-2005

Be : Résumé Clinique Minimum. Service public fédéral : Santé publique, sécurité de la chaine alimentaire et environnement
Fr : Programme de Médicalisation des Systèmes d'Information. Ministère français de la santé
La comparaison, par sexe et zone territoriale, des taux standardisés de mortalité souffre de la petite taille des différents échantillons. Les intervalles de confiance sont trop larges que pour nous permettre d’observer des différences entre les niveaux de mortalité des différents territoires. Malgré tout, nous pouvons constater une surmortalité hospitalière, des hommes par infarctus, et des femmes par AVC, en Belgique, par rapport à la zone ICAPROS. Ce graphique confirme aussi la tendance que nous avons souligné dans le graphique précédent concernant la très forte similitude entre les niveaux de mortalité hospitalière des hommes et les niveaux de mortalité hospitalière des femmes.
Source :






